Каталог товаров
Steam Origin Разное Steam аккаунты Origin аккаунты Xbox аккаунты Базы данных Шаблоны для сайта Прогнозы на спорт Антивирусы WOT аккаунты Uplay аккаунты Warface аккаунтыПринимаем к оплате
Купить Московский социально-гуманитарный институт. Математика. |
|---|
Есть в наличии.
Цена:
804.72 руб.
|
|
В нашем магазине вы сможете купить Московский социально-гуманитарный институт. Математика. дешево и надежно. Оплата онлайн, любым удобным способом.
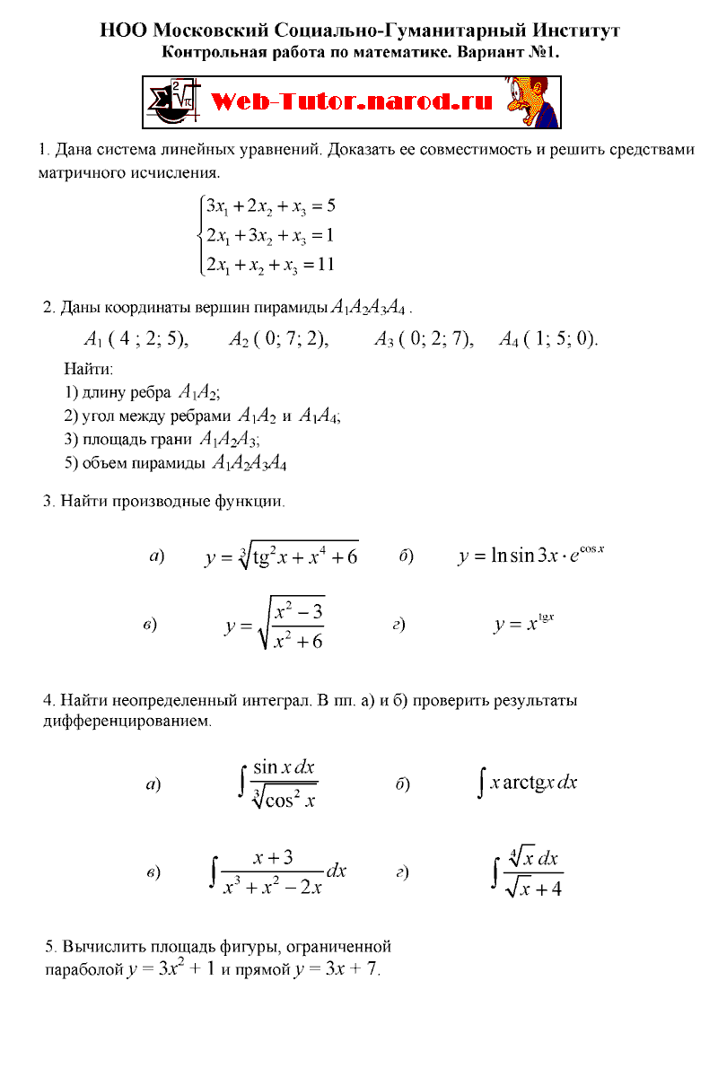
МСГИ. Решение задач контрольной работы по математике. Московский Социально-Гуманитарный Институт. Контрольная работа по Высшей Математике (МСГИ, вариант №1). Электронная книга (DjVu-файл) содержит решения 11 задач контрольной работы для студентов МСГИ. Решения задач оформлены в виде сканированного рукописного текста, собранного в единый документ объемом в 16 страниц. Данный документ сохранен в формате DjVu, который открывается в окне Internet Explorer после установки вспомогательной программы (плагина). Ссылка для скачивания и установки DjVu-плагина может быть найдена на домашней странице компании LIZARDTECH. DjVu-файл, содержащий условия задач и их подробное решение, полностью и готов к просмотру на компьютере и распечатке. Решения всех задач были успешно зачтены преподавателями МСГИ. Темы задач контрольной работы: 1. Дана система линейных уравнений. Доказать ее совместимость и решить средствами матричного исчисления. 2. Даны координаты вершин пирамиды А_1 А_2 А_3 А_4. А_1 (4;2;5), А_2 (0;7;2), А_3 (0;2;7), А_4 (1;5;0). Найти: 1) длину ребра А_1А_2; 2) угол между ребрами А_1А_2 и А_1А_4; 3) площадь грани А_1А_2А_3; 5) объем пирамиды А_1А_2А_3А_4 3. Найти производные функции. 4. Найти неопределенный интеграл. В пп. а) и б) проверить результаты дифференцированием. 5. Вычислить площадь фигуры, ограниченной параболой y=3x^2+1 и прямой y=3x+7. 6. Найти общее решение дифференциального уравнения первого порядка: (x^2-y^2)y´=2xy 7. Найти общее решение дифференциального уравнения второго порядка: (4-x^2)y"=xy´ 8.Исследовать на сходимость ряд: 9. В классе 17 девушек и 14 юношей. Определить вероятность того, что оба вызванных ученика окажутся: а) юношами б) девушками. 10. Имеются две урны. В первой урне находятся 1 белый, 3 черных и 4 красных шара, во второй - 3 белых, 2 черных и 3 красных шара. Из каждой урны достают по одному шару и сравнивают их цвета. Найти вероятность того, что цвета обоих шаров совпадают. 11. Дискретная случайная величина X задана законом распределения. Найти математическое ожидание, дисперсию и среднее квадратичное отклонение. |
|
Доп. информация
|
| Документ подготовлен на ресурсе: Интернет Репетитор по Математике и Физике. Условия задач можно посмотреть на сайте Интернет Репетитора в разделе КУРС ВЫСШЕЙ МАТЕМАТИКИ. |
|
Количество продаж товара - 0
|
|
Тип товара: Товар: файл (msgi-1.djvu,
382536 байтов)
|
|
Загружен - 21.02.2008 09:59:45
|
|
Продавец - Web-Tutor
|
|
Количество положительных отзывов: 0
|
|
Количество отрицательных отзывов: 0
|

